ППР на кладку стен: кирпич, газобетон, блоки
Разрабатывается полный комплект проекта производства работ на возведение несущих и ограждающих конструкций из кирпича, газобетонных блоков и керамических камней с технологическими картами, календарным графиком, стройгенпланом, мероприятиями по контролю качества каменной кладки и безопасности труда на всех этапах строительства.
ППР кладка стен: технология, организация, контроль
Документация выполняется в Москве и по всей России с учетом СП 48.13330.2019 «Организация строительства» и СП 70.13330.2012 «Несущие и ограждающие конструкции», что формирует правильную последовательность операций подготовки основания, установки подмостей, раскладки материалов, приготовления и расстилания раствора, укладки кирпичей или блоков с контролем горизонтальности и вертикальности конструкций. Проект производства работ на кладку стен из кирпича и газобетонных блоков обеспечивает соблюдение технологических требований при возведении наружных и внутренних несущих стен, самонесущих ограждающих конструкций и перегородок зданий с учетом проектных решений и климатических условий региона строительства.
ППР на кирпичную кладку включает разработку полной технологической документации для возведения стен из керамического и силикатного кирпича, крупноформатных керамических камней и поризованных блоков. ППР на кладку блоков содержит технологические карты работы каменщиков, схемы перевязки швов, методы контроля качества и геометрии конструкций на каждом этапе производства.
Что входит в состав ППР на каменную кладку
- Пояснительная записка для ППР кладку стен с описанием технологии возведения кирпичных и блочных конструкций, последовательности установки порядовок и причалок, способов раскладки кирпича или газобетонных блоков на стене, методов расстилания раствора или клеевой смеси, приемов укладки изделий в конструкцию, проверки горизонтальности рядов и вертикальности стен на всех этапах работ;
- Стройгенплан с размещением подъемного крана для подачи поддонов с кирпичом или блоками на этажи, зон складирования материалов с расстановкой на приобъектном складе, расположением растворосмесительного узла или места приема автобетоносмесителей с готовым раствором, путей движения строительной техники и размещением бытовых помещений для каменщиков на площадке объекта;
- Технологические карты на каждый вид работ: подготовка основания под кладку с установкой гидроизоляционного слоя, разметка стен по осям здания с установкой порядовок, приготовление цементно-песчаного раствора или клеевой смеси для тонкошовной кладки газобетонных блоков, установка и перестановка инвентарных подмостей, раскладка кирпича или блоков на рабочем месте каменщика, расстилание раствора толщиной горизонтального шва 12 мм для кирпичной кладки или клея 2-3 мм для кладки газобетонных блоков, укладка изделий с проверкой правильности перевязки швов и вертикальности конструкций;
- Календарный график производства работ на кладку стен с указанием сроков возведения несущих конструкций по этажам здания, выполнения облицовки фасадов лицевым кирпичом, устройства армопоясов над оконными и дверными проемами, установки перемычек и монтажа плит перекрытий с привязкой к общему графику строительства объекта;
- Мероприятия по контролю качества кирпичной кладки и кладки из блоков: входной контроль прочности кирпича или газобетонных блоков по паспортам и сертификатам производителя, проверка подвижности цементного раствора маркой П2-П3 или консистенции клея для газобетона, контроль толщины горизонтальных швов 10-12 мм для кирпича и 2-3 мм для газобетонных блоков, измерение отклонений от вертикали стен не более 10 мм на этаж, проверка горизонтальности рядов кладки правилом и шаблонами;
- Требования к безопасности труда при подаче кирпича или блоков краном в контейнерах на рабочее место каменщиков, установке и перестановке подмостей на высоте, работе с ручным инструментом каменщика, передвижении по лесам и подмостям, применении средств индивидуальной защиты от падения с высоты при возведении стен выше отметки 1,3 м от уровня земли;
Нормативная база: СП 70.13330.2012 и технология каменной кладки
Проект производства работ на кирпичную кладку выполняется в соответствии со СП 70.13330.2012, который устанавливает требования к производству каменных работ, возведению несущих и самонесущих стен из кирпича и блоков всех типов зданий и сооружений с учетом конструктивных решений проектной документации. Свод правил определяет технологию перевязки швов кладки, требования к толщине горизонтальных и вертикальных швов, правила армирования кирпичных стен сетками через 3-5 рядов кладки, методы контроля качества выполненных конструкций и допустимые отклонения от проектного положения на каждом этапе производства работ.
В ППР кладка кирпича прописываются технологические решения, обеспечивающие соответствие выполненных стен проектным требованиям: правильная перевязка вертикальных швов со смещением на полкирпича или четверть для цепной и многорядной системы кладки, качественное заполнение раствором горизонтальных и вертикальных швов для обеспечения совместной работы кирпичей, контроль вертикальности стен отвесом и горизонтальности рядов правилом, установка закладных деталей и анкеров для крепления облицовки фасадов в процессе возведения кладки.
Технология кладки: кирпич, газобетон, керамические блоки
Для кирпичной кладки стен прорабатывается система перевязки швов (цепная, многорядная, трехрядная для столбов и простенков), порядок расстилания цементно-песчаного раствора М100-М150 под ложковые и тычковые ряды с толщиной слоя 20-25 мм, способы укладки кирпичей вприжим при жестком растворе подвижностью П2 или вприсык при пластичном растворе П3-П4, проверка правильности перевязки и горизонтальности каждого ряда с контролем отклонений не более 15 мм на 10 м длины стены. Для облицовки фасадов лицевым кирпичом указывается последовательность кладки наружной версты одновременно с возведением несущей стены, установка гибких связей из базальтопластиковой арматуры диаметром 6 мм с шагом 600х600 мм, оставление вентиляционного зазора 20-40 мм между кладкой и утеплителем минераловатными плитами.
Для кладки газобетонных блоков детализируется метод подготовки первого ряда на выравнивающем слое цементно-песчаного раствора с контролем горизонтальности лазерным нивелиром, применение клеевого раствора для тонкошовной кладки последующих рядов с толщиной шва 2-3 мм для минимизации мостиков холода, нанесение клея зубчатым шпателем или кареткой на горизонтальную и вертикальную поверхности блоков, укладка изделий с выравниванием резиновой киянкой и проверкой уровнем каждого ряда. Для армирования конструкций указывается укладка арматуры диаметром 8 мм в штробы на глубину 25х25 мм через каждые 3-4 ряда кладки из газобетона, армирование зон под оконными проемами и над проемами с заведением стержней на 500 мм в кладку по сторонам, устройство монолитного армопояса высотой 200-300 мм по верху стен из газобетонных блоков перед монтажом плит перекрытий.
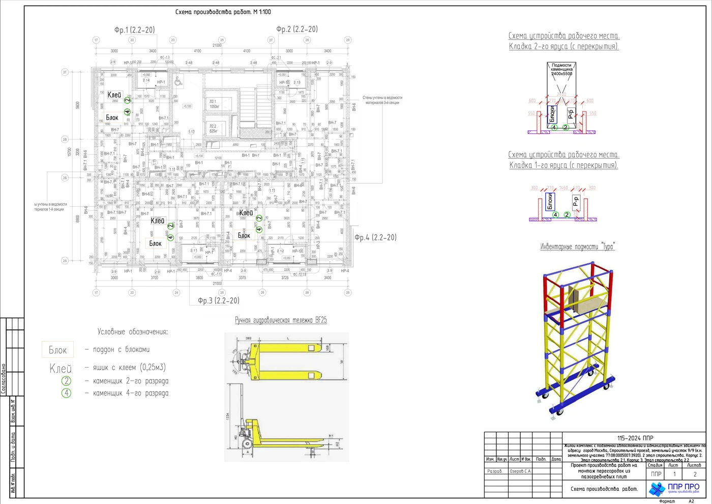
ППР на кладку блока: организация рабочего места каменщиков
В проекте производства работ ППР кладка блока устанавливается порядок организации рабочего места каменщиков с зонами площадью 2,5-2,6 м для размещения материалов, инструментов и проходов звена из 2-3 человек: рабочая зона шириной 60-70 см вдоль возводимой стены для передвижения каменщиков, зона материалов шириной 100-120 см для раскладки поддонов с кирпичом или газобетонными блоками в количестве на 2 часа работы, зона для установки ящика с раствором или емкости с клеевой смесью на расстоянии вытянутой руки от места кладки.
Определяются требования к установке инвентарных подмостей при высоте кладки стен выше 1,2 м от уровня рабочего настила с креплением стоек к конструкциям здания, порядок перестановки подмостей с захватки на захватку по мере возведения стен этажа, способы подачи кирпича или блоков краном в контейнерах грузоподъемностью 0,5-1,0 т на рабочее место каменщиков с расстановкой поддонов вдоль фронта работ через 2-3 м для обеспечения непрерывности производства кладки.
Контроль качества каменной кладки стен по СП 70.13330.2012
В проекте производства работ на каменную кладку устанавливается порядок входного контроля прочности кирпича марки М125-М150 или газобетонных блоков класса В2,5-В3,5 по маркировке на изделиях и паспортам качества производителя, проверки подвижности цементного раствора конусом Абрамса на соответствие маркам П2-П3 для кладки несущих стен или консистенции клея для газобетона с временем корректировки положения блоков не менее 10-15 минут после нанесения.
Определяются методы операционного контроля геометрии кладки в процессе производства работ: измерение толщины горизонтальных швов 10-12 мм для кирпичной кладки и 2-3 мм для кладки из газобетонных блоков с допустимыми отклонениями ±2 мм, проверка вертикальности стен отвесом с допуском не более 10 мм на высоту этажа, контроль горизонтальности рядов правилом длиной 2 м с отклонениями не более 15 мм на 10 м длины конструкций, измерение толщины несущих стен с допуском ±15 мм от проектных размеров.
Фиксируются требования к оформлению исполнительной документации по кладке стен: журнал каменных работ с записями о прочности кирпича или блоков и марке раствора, акты освидетельствования скрытых работ на армирование кладки сетками или стержнями, исполнительные геодезические схемы фактических отметок и осей возведенных конструкций, протоколы измерений отклонений от вертикали и горизонтали для передачи техническому надзору заказчика.
ППР кладка газобетонных блоков: особенности технологии
ППР на кладку стен из газобетонных блоков разрабатывается с учетом требований производителей автоклавного газобетона к применению клеевых составов для тонкошовной кладки с минимизацией мостиков холода через швы толщиной 2-3 мм в отличие от традиционной кирпичной кладки на цементном растворе со швами 10-12 мм. Для устройства первого ряда кладки из газобетона прописывается технология выравнивания основания цементно-песчаным раствором с контролем горизонтальности лазерным нивелиром для обеспечения правильной геометрии всей конструкции стены, укладка гидроизоляционного слоя из двух полос рубероида или обмазочной мастики для защиты газобетонных блоков от капиллярного подсоса влаги из фундаментов.
Детализируется порядок нанесения клея кареткой или зубчатым шпателем на горизонтальную и вертикальную поверхности блоков слоем 2-3 мм, укладка изделий с выравниванием резиновой киянкой в течение 10-15 минут корректировки положения, удаление выступившего клея шпателем до схватывания состава. Для обеспечения прочности кладки указывается армирование зон опирания перемычек и под оконными проемами стержнями диаметром 8-10 мм в штробах глубиной 25 мм с заведением арматуры на 500 мм в кладку по сторонам от проемов, устройство монолитного армопояса высотой 200-300 мм по верху стен из газобетонных блоков перед монтажом железобетонных плит перекрытий для распределения нагрузок.
Москва и регионы: учет климата и логистики материалов
Проекты производства работ на кладку кирпича и газобетонных блоков выполняются для объектов в Москве, Московской области и по всей России с учетом климатических условий региона, требуемой толщины несущих стен и утепления фасадов, доступности поставок кирпича с ближайших заводов или газобетона автоклавного твердения, графика движения автотранспорта с материалами и размещения приобъектного склада на стесненных городских площадках.
Для московских объектов учитываются требования городских служб по организации движения грузовой строительной техники с кирпичом и блоками, времени производства работ с ограничениями по шуму для крановых операций в жилых зонах, согласовательным процедурам при возведении стен на объектах вблизи памятников архитектуры и в зонах охраны культурного наследия с дополнительным контролем качества от реставрационных мастерских.
Виды каменных конструкций стен зданий
ППР кладка разрабатывается для всех типов каменных конструкций: возведение наружных несущих стен толщиной 380-640 мм из керамического или силикатного кирпича, кладка самонесущих ограждающих конструкций из газобетонных блоков толщиной 300-400 мм с облицовкой лицевым кирпичом, устройство внутренних несущих стен и перегородок из керамических блоков или пенобетона, кладка столбов и простенков с армированием вертикальных конструкций сетками.
Для каждого типа конструкций прописываются особенности технологии: для наружных стен из кирпича — многорядная система перевязки швов с утеплением минераловатными плитами и облицовкой лицевым кирпичом на гибких связях, для кладки из газобетонных блоков — тонкошовная технология на клеевом растворе с армированием через 3-4 ряда и устройством армопояса по верху стен, для керамических блоков — укладка на теплоизоляционный раствор с заполнением вертикальных пазогребневых соединений, для перегородок — кладка из кирпича на ребро толщиной 120 мм или блоков толщиной 100 мм с креплением к несущим стенам гибкими связями.
Сроки и стоимость разработки ППР на кладку
Типовой проект производства работ на кладку стен при наличии полного комплекта исходных данных (рабочий проект конструкций КР раздела с чертежами кладочных планов этажей, спецификации на кирпич и блоки, ведомости объемов каменной кладки по конструкциям, ПОС объекта, техническое задание заказчика) разрабатывается от 3 рабочих дней с момента получения документации.
Стоимость зависит от объема каменной кладки стен в кубометрах кирпича или газобетонных блоков, количества этажей здания, сложности архитектурных решений фасадов с облицовкой, типа применяемых материалов и необходимости проработки производства работ в зимних условиях с применением противоморозных добавок в раствор или устройства тепляков для кладки газобетонных блоков при температуре ниже -5°С.
Для оценки задачи достаточно направить рабочий проект конструкций КР раздела с кладочными планами, спецификации на кирпич или блоки, ведомости объемов каменной кладки, краткое описание объекта и требования технического надзора — будет предложен срок разработки ППР на кирпичную кладку или кладку из газобетона, состав документации и бюджет проекта.
Примеры выполненных ППР на каменные работы
Ознакомьтесь с образцами наших работ — качественно разработанными проектами производства работ для различных типов каменных конструкций (несущие стены из кирпича, самонесущие конструкции из газобетонных блоков, облицовка фасадов лицевым кирпичом, перегородки из керамических блоков, армирование кладки) с полным комплектом технологических карт, стройгенпланов и мероприятий по контролю качества каменной кладки и безопасности труда.





Разработка технологических карт на каменную кладку в составе комплексного проекта на возведение стен здания
Вносим правки до полного согласования документации. Комплект проекта производства работ на кладку стен согласовывается с техническим надзором заказчика, учитывает замечания стройконтроля и представителей авторского надзора проектной организации, что обеспечивает беспроблемное производство каменных работ без остановок, предписаний инспекций Мосгосстройнадзора и переделок конструкций на объекте строительства.
